그림 4.700℃의 제자리 XRD 측정에서 얻은 행렬 격자 상수의 시간 의존성◦우리는 격자 파라미터가 단조롭게 떨어지는 것을 관찰하였는데, 이는 중원소인 Nb와 Mo가 점차 고체에서 확산되고 있음을 나타낸다-고용체와 기체는 δ상의 형핵과 생장에 도움이 된다.본 그림에서 보고된 불확실성 및 다른 규정이 없으면 다음은 표준적인 데이비스를 대표한다.
그 밖에 고체의 매트릭스 격자 파라미터의 변화-고용합금은 침전 정도와 관계가 있다[40].AM IN625에서 870℃에서 10시간 열처리 전후 기체 격자 파라미터의 차이◦C 예≈0.0042 Å [21]. 비교해 보면 크리스털 파라미터의 변화≈700℃에서 10.5h 열처리 후 0.0015Å◦C. 이 온도에서 δ상의 석출이 현저히 감소한 것을 나타낸다우르.
설계에 따라 IN625는-금방아e 강도는 주로 몰리브덴, 니오브롬과 크롬의 용해 강화에서 비롯된다[1].활용단어참조e기체 중 몰리브덴과 니오브륨의 소진이 강도를 낮출 것으로 예상되기 때문에 침전의 형성은 이런 감소를 보상하고 IN625의 전체 강도를 높일 수 있다.예를 들어, 단조 IN625는 700℃에서 170시간 동안 최고 수준의 경도를 유지합니다.◦어떤 예.주로γ'상의 침전, δ상의 전신[41]이다.이와 유사하게 δ상의 분석도 전체 강도를 증가시키고 연전성을 낮춘다[37].AM IN625의 경우 일정 온도 범위에서 기계 성능에 미치는 열처리의 영향을 체계적으로 평가해야 합니다..
열처리 과정에서 δ상의 수정포도 변화가 생겼다.그림5는 이런 변화를 설명한다.세 개의 정교정격 매개 변수(그림5a-c) 중 두 개는 거의 고정적이다≈5.108 및≈각각 4.232Å이다.세 번째 격자 매개 변수 표시≈4.482 ~≈4.488 Å. 이미 알고 있는 δ상위의 긴 축과 폐합상위 정렬-FCC 기체의 충전 방향과 FCC 기체와 δ상 사이의 결정 취향은 {111}FCC//(100)δ 및 FCC//[100]δ [10]. 이에 따라 Nb와 Mo의 확산도 지향된 것으로 추정된다.모가 기체에서 δ상으로 확산되는 속도가 Nb[42]보다 느리기 때문에 이런 정방향 확산은 δ상화학의 변화와 단위 전지 부피의 증가를 초래할 수 있다. 그림5d와 같다.
그림 5.(a–c) 700℃의 제자리 XRD 측정에서 얻은 δ상침전의 세 개의 크리스털 파라미터의 시간 의존성◦C.(d)δ상침전된 단포부피.
등온열처리 기간에 같은 샘플의 부피를 사용하여 얻은 제자리 SAXS 데이터도 재료의 미시적 구조를 탐지하는 통계적 현저한 전환동력학을 위한 창을 제공했다.그림 6은 전체 데이터 세트를 보여 줍니다. USAXS 데이터는 주 그림이고 SAXS 데이터는 삽화에 표시됩니다.일치성을 위해 산란 데이터는 컬러이다-그림 3의 XRD 데이터와 같은 색표를 사용하여 인코딩합니다.산란 데이터는 세 가지 현저한 특징이 있다.우선, 매우 낮은-q부분 산란 데이터(≈1 × 10−4 Å−1에서≈4 × 10−4 Å−1) 전원 공급 장치를 살펴보면-시간에 따라 변하지 않는 사율의 법칙.우리는 이 특징을 과립에 귀인할 것이다 산란, 이는 이전 니켈에 대한 연구와 유사하다-알루미늄기 고온합금[21,43]과 알루미늄 합금[44,45].온도가 900℃ 이하일 경우 IN625의 결정 입자가 가장 작게 자란다◦C[46]。따라서 입자 산란이 안정적일 것으로 예상되는 것은 실험 관찰 결과와 일치한다.둘째, 우리는 두 재료 간의 산란 강도가 단조롭게 증가하는 것을 관찰했다≈4 × 10−4 Å−1 및≈0.01 Å−1, 특히 2×10 부근에 기네아 지역이 두 개 있다−3 Å−1과 8×10−3 Å−각각제자리 XRD 데이터와 비제자리 SEM 이미지는 δ상침전만 보이기 때문에 우리는 이 산란 신호를 δ상으로 돌릴 것이다.이전의 미시적 연구에서 δ가 두 가지 특징 사이즈로 침전된 혈소판[10,21,47]을 확정했는데 이것은 산란 데이터 중의 두 지니어 구역의 관찰 결과와 일치한다.마지막으로 삽화에 나타난 SAXS 데이터는 고q 출력의 간단한 확장이다-USAXS 데이터의 법칙 경사율;i. 예를 들어 SAXS 데이터에는 추가 정보가 포함되지 않으며 이는 nm 추가가 없음을 나타냅니다.-이 열처리 과정에서 형성된 사이즈가 비교적 큰 침전물.
그림 6.AM IN625는 700℃ 등 온열 처리 시 SAXS 데이터를 원위치로 제공◦마스터 및 아트웍에는 각각 USAXS 및 SAXS 데이터가 표시됩니다.채집 시간은 컬러-시간 화살표에 따라 인코딩하다.USAXS 강도는 좁은 틈입니다.-칠하다.
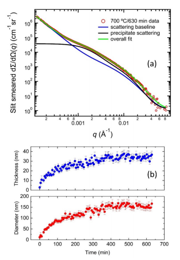
우리는 이러한 관측을 바탕으로 하는 산란 데이터를 묘사하기 위해 산란 모델을 구축했다. 그림7a와 같다.630분 현장 실험에서 얻은 USAXS 데이터의 경우 이 모델은 두 부분으로 구성됐다.첫 번째 성분은 산사기선으로 열처리 전에 실온에서 같은 샘플의 부피에서 산사기선을 얻는다.두 번째 분량은 δ상침전으로 인한 과도한 산란을 나타낸다.앞에서 말한 바와 같이 우리는 두 개의 산란 단계를 가진 통일된 소각 산란 방법과 유사한 분석 방법을 사용했다[48]는 이런 과도한 산란을 묘사했다.이 두 개-구성 요소 모델은 전체 데이터 시퀀스를 통해 현장 SAXS 데이터를 잘 설명합니다..
그림 7.(a) 이 작업에 사용된 SAXS 모델의 그림입니다.700 ℃ 의 열처리 과정 중 630 min 에 데이터 를 얻다◦C. 커버 산란은 두 부분을 포함한다. (1) 산란 기선과 (2)δ가 서로 침전된 과도한 산란이다.(b)시간-δ상분해물 평균직경(큰 사이즈)과 두께(작은 사이즈)의 관련 변화.

직위: Product manager
학과: Market Department
회사 전화 번호: +86 021-59150215
이메일: 연락처
휴대 전화: +86 13817160919
웹 사이트: lanzhusuperalloy.korb2b.com
주소: No. 2800 Caoxin Road, Xuhang Town, Jiading District, Shanghai