introduction
항공의 진단에서 중요한 방향 가스 터빈 엔진 및 터보 기계 모델링을 통해 diagnostics입니다. 모델링은 어떤 종류의 기계 결함의 존재를 진동 신호에있는 징후로 연결하는 기회를 제공합니다. 그러한 결함 중 하나는 항공기 엔진의 샤프트와 금지 할 수없는 터보 기계에서 균열 외관입니다. 따라서 진단 시스템의 가장 중요한 작업은 시간이 지남에 따라 균열을 탐지하고 진행 상황을 예측하는 것입니다. 로터에서 균열의
AppeArance 로컬 강성이 감소합니다. 강성 손실의 가치는 균열의 기하학적 특성에 달려 있습니다. 가중력과 같은 정적 하중이 적용되면 회 전자가 회전하는 동안 균열이 열리고 닫힙니다. 결과적으로 샤프트 강성은주기 당 변화합니다. 로터 시스템의 균열은
increase 성장으로 인한 회전 속도의 고조파 진폭에서 강성으로 인한 정전기가 감소합니다. 비대칭 로터 강성으로 인해 회전 속도의 2 배의 구성 요소의
냅킨.
균열의 순환 속도로 회전 속도의 3х 구성 요소.&#수학 모델의 주요 작업은
&#&#
101의 뻣뻣함의 국소 변화의 가치 및 법의 법칙입니다. 균열은 가능한 한 많은 요인을 고려하여 일어납니다. 은 균열을 시뮬레이트하는 몇 가지 접근법입니다. 가장 단순한 경우 균열은 전체 샤프트의 반경 방향 강성이 감소함으로써 시뮬레이션됩니다 [2,3,4]. 다른 경우 샤프트 부분, Wher101; 균열이 일어나고, 해당 빔 요소에 의해101; d. 이러한 요소의 강성 매트릭스 계수는 균열을 고려하여주기 당 변경 및 변경으로 계산됩니다. 직장에서 [5] 균열이있는 빔 요소의 강성 매트릭스 계산은 균열을 고려하여 빔 섹션의 관성 모멘트의 사용을 기반으로합니다. 작업 중 [6] 이러한 요소의 강성 매트릭스는 고체 몸체의 파괴의 역학 방정식에 기초하여 계산됩니다. 균열은 샤프트의 경계 섹션을 그 위치의 장소에서 연결하고 균열 모멘트 강성을주는 탄성 링크에 의해 시뮬레이션 될 수 있습니다 [7,8]. 회 전자가 회전하는 동안 개폐 및 닫는 동안 균열 강성에서
Change는 수학적으로 다른 방식으로 묘사 될 수 있습니다. 가장 간단한 경우에는 균열이 두 위치 만 있음을 가정 할 수 있습니다. 완전히
opened 또는 완전히 닫히고 단계 기능이 수학적으로 뻣뻣함 변경을 설명하기 위해 적용될 수 있습니다 [4]&&#.
work [3]은 가장 확산 된 강성 변경 모델을 설명합니다. 그 중 하나는 멱질 방식입니다. 변경 in 강성은 정적 힘과 균열 단계의 위상 사이의 각도에 따라 일어나고 푸리에 시리즈의 17 개의 고조파를 설명합니다. 같은 기사는 Maes데이비스 방정식
101; 뻣뻣함은 코사인 법에 따라 각도에 따라 변합니다. Yang Model Stiffness에서는 상대 균열 깊이의 정도에서 코사인 법으로 변화합니다.
existed 접근법의 기초에 균열 모델을 개발하고 또한 방법론을 제시합니다 이는 정확한 로터에 대한 조건을 감지하는 데 사용되는 징후를 강조 할 수있는 기회를 제공합니다.
알고리즘은 복잡한 로터 시스템의 동적 동작 계산에 전용system을 나타내는 다이나믹 R4 소프트웨어 프로그램 [9]에 포함됩니다.
crack 모델수락 된 시뮬레이션 개념, 샤프트 모델의 균열은 샤프트를 두 개의 섹션으로 나누고 변수가있는 강성 매트릭스에 의해 설명되는 탄성 링크로 대체됩니다. 계수. 균열이 없으면 샤프트 부품의 섹션 사이의 변형률 호환성 상태가 완료되므로 모든 상호 변위가 금지됩니다. 우리는 균열 영역에 누워있는 회전 좌표계 ηo ε을 소개합니다. 그림 1은 고정 좌표계 XYZ의 기원과 일치합니다. 샤프트는 Z 축을 중심으로 적절한 회전 및 선행 2 개의 동작을 실행합니다. 균열을 설명 할 때 우리는 η와 ε 축에서 회전하는 것을 고려합니다. 다른 자유도의 변위는 무시됩니다.
figure 1. 균열 섹션
following : &# =- n- 101; - - 의 차이샤프트 회전 각도, 선행 각도; ( - ) 및
hh
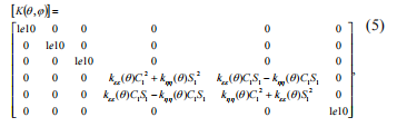
변수모멘트 유연성Cofficients.샤프트가 회전하는 동안 각도q/because에 따라 다르므로 균열이 열리고 닫힙니다. 강성 매트릭스는
[
) ]
&lezability 계수의 rezility 계수 주요 대각선은 무한대에가는 강성 계수를 얻는 것으로 이어진다. 우리는 그러한 강성 계수의 값을 1 × 10#m; 이러한 가정으로 변환 크게 한 결과, 즉, 우리가 구-&#Stiffness 매트릭스에 영향을 미치지 않고 상기를 사용 좌표계 고정 다음 식 :=wher101;[=]회전 매트릭스 (4), wher101;
cos (

sin ( j ).
방정식 (3)에 대응하여 매트릭스를 곱하기 :
&#우리는 균열stiffness 매트릭스와 계수 얻는 알고리즘의 단순한 설명에 전달하는 기회를 제공하는 일부 변형을 수행합니다. MAES 모델에 대응하여-MAY는 코사인 법에 의한 최소값에서 최대 값까지 균열이 변하지 않는 원형 빔의 방사형 유연성을 가정합니다.-
wher 101; 균열 (최소값)없이 빔의 유연성 (최소값), crack (최대 값)의 빔의 유연성. we 순간 강성
힌지에 의해 균열을 교체하십시오h
. 빔 경계 조건은 그림 2.
&#-- . 힌지
균열의 교체 오픈 균열이있는 샤프트의 강조 표시된 섹션의 방사형 유연성은 다음과 같이 얻어졌습니다 :
1011;

직위: Product manager
학과: Market Department
회사 전화 번호: +86 021-59150215
이메일: 연락처
휴대 전화: +86 13817160919
웹 사이트: lanzhusuperalloy.korb2b.com
주소: No. 2800 Caoxin Road, Xuhang Town, Jiading District, Shanghai